Температура та абсолютна шкала температур

Додано: 18 лютого
Предмет: Фізика, 10 клас
10 запитань
Запитання 1

Яка фізична величина є мірою середньої кінетичної енергії теплового руху молекул?

варіанти відповідей

Тиск

Температура

Об'єм

Маса

Запитання 2

Яка температура прийнята за «абсолютний нуль»?

варіанти відповідей

0C

Температура замерзання ртуті

Температура, за якої припиняється тепловий рух молекул

Температура кипіння води

Запитання 3

Укажіть співвідношення між термодинамічною температурою (T) і температурою за шкалою Цельсія (t):

варіанти відповідей
Запитання 4

Чому дорівнює значення абсолютного нуля за шкалою Цельсія?

варіанти відповідей

273C

0C

-273C

-100C

 

Запитання 5

Якою є середня кінетична енергія молекул при температурі 0 К?

варіанти відповідей

 Максимальною

Дорівнює нулю

Залежить від роду газу

Має від’ємне значення

Запитання 6

Переведіть температуру 27C у кельвіни:

варіанти відповідей

273 К

300 К

246 К

327 К

 

Запитання 7

Температура тіла зменшилася на 10 К. На скільки градусів вона зменшилася за шкалою Цельсія?

варіанти відповідей

На 283C

 На 10C

На 263C

Температура за Цельсієм не змінилася

Запитання 8

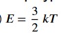
Яка формула виражає залежність середньої кінетичної енергії поступального руху молекул від абсолютної температури?

варіанти відповідей
Запитання 9

Як називається фізична стала k≈1,38⋅10-23 Дж/К ?

варіанти відповідей

Стала Авогадро

Стала Больцмана

Універсальна газова стала

Стала Планка

Запитання 10

У посудині міститься газ при температурі 400 К. Чому дорівнює ця температура у градусах Цельсія?

варіанти відповідей

673C

127C

273C

-127C

 



Створюйте онлайн-тести
для контролю знань і залучення учнів
до активної роботи у класі та вдома

Створити тест