Тригонометрія

Додано: 2 грудня 2025
Предмет: Алгебра, 10 клас
Копія з тесту: Тригонометрія
12 запитань
Запитання 1

У якій чверті розташована точка одиничного кола, яка відповідає куту 250⁰

варіанти відповідей

І

ІІ

ІІІ

IV

Запитання 2

1. Яка з наведених рівностей неправильна?

варіанти відповідей
Запитання 3

(1 - sin 2 x) • tg 2 x =

варіанти відповідей

sin 2x

cos 2x

sin 2 x

cos 4 x / sin 2 x

ctg 2 x

Запитання 4

Обчисліть sin 210°.

варіанти відповідей

0,5

 -0,5

 -1,5

  -√3/2

Запитання 5

Спростіть вираз 6 + sin2α + cos2α .

варіанти відповідей

7

6

6+cos 2α

7sin2α+7cos2α

Запитання 6

Спростіть вираз

2 cos 2 x • tg x=

варіанти відповідей

cos 2x

sin x⋅cos x

cos3 x / sin x

sin 2 x

2 ctg 2 x

Запитання 7

(1 - sin 2 x) • tg 2 x =

варіанти відповідей

sin 2x

cos 2x

sin 2 x

cos 4 x / sin 2 x

ctg 2 x

Запитання 8

α - кут ІІ чверті, sin α=0,8. Обчисліть cos α.

варіанти відповідей

0,2

-0,2

0,6

-0,6

-0,36

Запитання 9

Обчисліть значення виразу 4sin2x, якщо 4cos2x = 1.

варіанти відповідей

0

1/4

3/4

3

4

Запитання 10

Яка з наведених нерівностей правильна?

варіанти відповідей

 sin80° > 0.

 tg210° < 0.

cos130° > 0

ctg310° > 0.

Запитання 11

Знайдіть значення виразу:

2sin²β - 5 + 2cos²β

варіанти відповідей

- 3

7

- 4

- 2

3

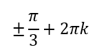
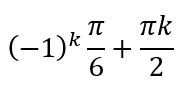
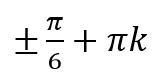
Запитання 12

Розв'яжіть рівняння

2cos 2x=1

варіанти відповідей

Створюйте онлайн-тести
для контролю знань і залучення учнів
до активної роботи у класі та вдома

Створити тест