Властивості пари, твердих тіл та рідин

Додано: 25 грудня 2024
Предмет: Фізика, 10 клас
18 запитань
Запитання 1

За допомогою якого приладу вимірюють відносну вологість повітря?

варіанти відповідей

манометра    

термометра

психрометра            

барометра.

Запитання 2

В яких одиницях вимірюють коефіцієнт поверхневого натягу?

варіанти відповідей

Н/м

Н⋅м

м/Н

Н/м2

Запитання 3

Якою буквою позначають відносну вологість повітря?

варіанти відповідей

ρ

Ρ

φ

η

Запитання 4

Після дощу на листі окремих рослин вода збирається у формі невеликих кульок. Це відбувається тому, що:


варіанти відповідей

 вода не змочує поверхні листків цих рослин

 вода змочує поверхні листків цих рослин

вода завжди збирається на будь-якій поверхні у кульки

немає правильної відповіді.

Запитання 5

Відносне видовження позначають буквою:

варіанти відповідей

ε

σ

λ

l0

Запитання 6

Якою буквою позначають механічну напругу?

варіанти відповідей

ε 

σ

ℓ  

µ

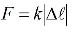
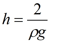
Запитання 7

 Вкажіть формулу, що виражає закон Гука?

варіанти відповідей
Запитання 8

Чому температура води у відкритих водоймах майже завжди у літню пору нижча від температури навколишнього середовища?

варіанти відповідей

Тому, що вода випаровується і втрачає енергію

Тому, що вода не встигає прогрітися

Тому, що повільно відбувається конвекція

Немає правильної відповіді

Запитання 9

За якою формулою визначають відносну вологість повітря?

варіанти відповідей

Немає правильної відповіді

Запитання 10

Яка головна властивість кристалів?

варіанти відповідей

Ізотропія                                                


анізотропія

Універсальність         

Немає правильної відповіді

Запитання 11

 Яку фізичну величину позначають буквою Е:


варіанти відповідей

Відносне видовження

Механічна напруга

Модуль Юнга

 Абсолютне видовження

Запитання 12

До якої групи твердих тіл відносять метали?


варіанти відповідей

 До аморфних

До кристалічних

 І до аморфних і до кристалічних

 Немає правильної відповіді.

Запитання 13

Що прийнято за одиницю вимірювання механічної напруги?

  

варіанти відповідей

 Вольт

 Ватт

  Ньютон

  Паскаль

Запитання 14

В яких одиницях вимірюють відносну вологість повітря?

варіанти відповідей

кг/м3

кг

Па

%

Запитання 15

Як називають явище зміни форми й об’єму тіла?

варіанти відповідей

гравітація

деформація

девальвація

видовження

Запитання 16

У скляній капілярній трубці рідина опустилася дещо нижче рівня рідини в посудині. Чи змочує ця рідина скло?


варіанти відповідей

так

 ні

рівень рідини не залежить від змочування

неможливо дати відповідь

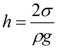
Запитання 17

Висоту підняття рідини в капілярі визначають за формулою:

варіанти відповідей
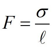
Запитання 18

За якою формулою обчислюють значення сили поверхневого натягу?

варіанти відповідей

Створюйте онлайн-тести
для контролю знань і залучення учнів
до активної роботи у класі та вдома

Створити тест