Внутрішня енергія. Способи зміни внутрішньої енергії

Додано: 21 лютого
Предмет: Фізика, 10 клас
8 запитань
Запитання 1

Що називають внутрішньою енергією тіла в термодинаміці?

варіанти відповідей

Суму кінетичної та потенціальної енергії тіла як цілого

Енергію, яку тіло отримує від Сонця

Суму кінетичної енергії хаотичного руху частинок і потенціальної енергії їхньої взаємодії

 Енергію атомних ядер усередині молекул

Запитання 2

Від яких макроскопічних параметрів залежить внутрішня енергія ідеального одноатомного газу?

варіанти відповідей

Температура 

Швидкість руху посудини, у якій міститься газ

Маса газу

Висота підйому газу над рівнем моря

Об'єм газу

Запитання 3

Оберіть способи, якими можна змінити внутрішню енергію тіла:

варіанти відповідей

Зміна швидкості руху тіла в просторі

Зміна потенціальної енергії тіла в полі тяжіння Землі

Теплопередача (теплообмін)

Виконання роботи з тілом або самим тілом

Запитання 4

Який вид теплопередачі може відбуватися у вакуумі?

варіанти відповідей

Теплопровідність

Конвекція

Випромінювання

Жоден із перелічених

Запитання 5

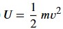
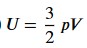
Укажіть правильну формулу для обчислення внутрішньої енергії одноатомного ідеального газу:

варіанти відповідей
Запитання 6

Процес передачі енергії від більш нагрітих частин тіла до менш нагрітих через безпосередній контакт (без перенесення речовини) — це:

варіанти відповідей

Конвекція

Випромінювання

Теплопровідність

Дифузія

Запитання 7

Які фізичні величини мають однакову одиницю вимірювання (Джоуль) у СІ?

варіанти відповідей

Робота

Внутрішня енергія

Кількість теплоти

Питома теплоємність

Запитання 8

Обчисліть зміну внутрішньої енергії гелію масою 40 г, якщо його нагріли на 20 К. Гелій вважати ідеальним одноатомним газом. Молярна маса гелію Μ = 4⋅10-3 кг/моль (розв'язування задачі надіслати мені окремо)

варіанти відповідей

1246,5 Дж

2493 Дж

3324 Дж

500 Дж

Створюйте онлайн-тести
для контролю знань і залучення учнів
до активної роботи у класі та вдома

Створити тест