звільнення від ірраціональності

Додано: 2 січня
Предмет: Алгебра, 10 клас
11 запитань
Запитання 1

Внесіть множник під знак кореня:

2√16

варіанти відповідей

√12

√18

√24

√36

Запитання 2

Звільніться від ірраціональності в знаменнику дробу:


варіанти відповідей

6√6

2

3√6

3

Запитання 3

Звільніться від ірраціональності в знаменнику дробу:

варіанти відповідей

1

√3 - 1

4 (√3 + 1)

2 (√3 - 1)

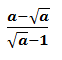
Запитання 4

Скоротіть дріб:

варіанти відповідей

дріб нескоротний

√а

-√а

√а-1

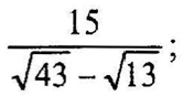
Запитання 5

Звільнитися від ірраціональності в знаменнику дроба

варіанти відповідей

√43 + √13

15√43

(√43 + √13) / 2

6

Запитання 6

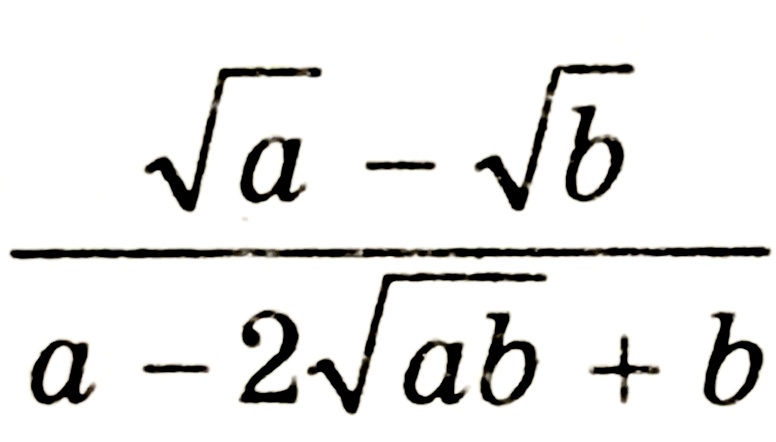
Звільнитися від ірраціональності в знаменнику дробу

варіанти відповідей
Запитання 7

Спростити вираз (13+√5)(2-3√5)

варіанти відповідей

11

11√5

41

11 - 37√5

Запитання 8

Скоротіть дріб

варіанти відповідей

α - √в

α + √в

1 / √α - √в

1 / √α + √в

Запитання 9

Скоротіть дріб

варіанти відповідей
Запитання 10

Запишіть у вигляді степеня:

3)-2 : (а-5)-2

варіанти відповідей

 а4

а16

а-4

 а-16

Запитання 11

Подайте дріб 

 у вигляді степеня з основою 3

варіанти відповідей

 3- 3

 3- 4

 33

 34

Створюйте онлайн-тести
для контролю знань і залучення учнів
до активної роботи у класі та вдома

Створити тест