Конспект уроку на тему: Відрізок. Вимірювання та відкладання відрізків. Рівність відрізків. Середина відрізка. Відстань між двома точками.

Про матеріал
Конспект уроку на тему: Відрізок. Вимірювання та відкладання відрізків. Рівність відрізків. Середина відрізка. Відстань між двома точками.
Перегляд файлу

____ ________________ 20___ р.

 [ дата ]

Тема: Відрізок. Вимірювання та відкладання відрізків. Рівність відрізків. Середина відрізка. Відстань між двома точками.

Мета:

  • Навчальна: засвоїти поняття відрізка, рівності відрізка, середини відрізка, довжини відрізка; навчати вимірювати та відкладати відрізки;
  • Розвиваюча: розвивати вміння аналізувати отримані знання, правильно користуватися креслярським приладдям; будувати та вимірювати відрізки;
  • Виховна: виховувати інтерес до вивчення точних наук;

Компетенції:

  • математичні
  • комунікативні

Тип уроку: засвоєння нових знань;

Обладнання: конспект, презентація, мультимедійне обладнання;

 

Хід уроку

  1. Організаційний етап
  • Привітання
  • Перевірка присутніх на уроці
  • Налаштування на роботу

 

  1. Актуалізація опорних знань

 

  • На які геометричні фігури, точка, що знаходиться на прямій, розбиває пряму?
  • Скільки прямих можна побудувати через одну точку?
  • Скільки прямих можна побудувати через дві точки?
  • Яка геометрична фігура є найпростішою геометричною фігурою?

Скільки спільних точок можуть мати дві прямі?

  1. Вивчення нового матеріалу

 

>> Відрізок <<

 

Відрізок – це частина прямої, що складається з усіх точок цієї прямої, які лежать між її точками, разом із цими точками. Ці точки називаються кінцями відрізка.

 

 

Відрізок позначають називаючи його кінці

 

Відрізок ;

Відрізок ;

 

  •      Чи може для будь-яких двох точок існувати два різні відрізки?

(Ні, відрізок – це частина прямої. Пряма, а отже і відрізок двома точками задаються однозначно)

 

// Цікаво

 

  •      Чи може відрізок бути нескінченним?

(Учні висловлюють власну думку)

 

«Велика» та «Мала» нескінченність прямої

 

  •      Точка не має форми, ширини, довжини

 

  •      Між будь-якими двома різними точками прямої існує хоча б одна точка, яка належить цій прямій

 

  •      Отже між будь-якими двома точками прямої є нескінченно багато точок цієї прямої

 

  •      За означенням відрізка – будь-який відрізок є нескінченним, так як він складається з точок а між будь-якими двома точками прямої є нескінченно багато точок цієї прямої

 

  •      Математика є дуже цікавою наукою, яка ще має багато цікавих речей і запитань, що є не розв’язаними на цей момент але відповідь на них є дуже цінною для людей, тому за відповідь на такі задачі наразі можна отримати 1 000 000$

 

На уроках математики ми не будемо з вами розглядати прямі і відрізки у «малому» розумінні. Всі відрізки, що ми будемо вивчати – можна виміряти.

 

  •      Якщо розглянути відрізок і точки, що є відмінними від точок , як можуть розміщуватися ці точки?

(Учні висловлюють власну думку)

Точки, що є відмінними від точок можуть або належати відрізку , або не належати відрізку . Точки, що належать відрізку – це його внутрішні точки.

 

Зображення, що містить годинник

Автоматично згенерований опис

 

Точка – внутрішня точка відрізка , так як точка лежить між точками

 

Зображення, що містить годинник

Автоматично згенерований опис

 Два відрізки можуть мати тільки одну спільну точку – це точка їх перетину.

 

 

>> Вимірювання відрізків <<

 

 

Аксіома 4

Зображення, що містить годинник

Автоматично згенерований опис

Кожний відрізок має певну довжину, більшу за нуль

 

  •      Які ви вже знаєте одиниці вимірювання довжини?

(Учні висловлюють власну думку)

 

Одиниці вимірювання довжини:

1 мм

1 см

1 дм

1 м

1 км

1 миля

 

Одиницею вимірювання довжини може буди будь-що. Наприклад, 1889-1960 роках еталон метра був матеріальним і зберігався в палаті мір і ваг.

(Наразі 1 метр дорівнює довжині шляху, який проходить у вакуумі світло за 1/299 792 458 частину секунди)

 

  •      Придумайте власну одиницю вимірювання, якою можна було б виміряти довжину вашої парти

(Парту, наприклад, можна виміряти ручкою – скільки разів парта вмістить у своїй довжині ручку, такою і буде її довжина. Тобто довжина парти, наприклад, може дорівнювати 9 ручкам або 7 ручкам. Взагалі одиницею вимірювання може бути будь-що, але для зручності користуються метричною системою. В 7 класі на уроках фізики учні більше детальніше познайомляться з міжнародною системою одиниць)

 

  •      Для вимірювання довжини відрізка у побуті та виробництві використовують різні вимірювальні інструменти, наприклад:

 

Рулетка

Штангенциркуль

Клейончастий сантиметр

Використовують для вимірювання відстаней на місцевості

Використовують для вимірювання циліндричних предметів та діаметрів труб

Використовують швачки щоб зняти мірки

 

  •      Які ви знаєте прилади для вимірювання довжини відрізка?

(Учні висловлюють власну думку)

 

На уроках геометрії ви вже використовували лінійку, як за допомогою лінійки можна виміряти довжину відрізка?

(Учні висловлюють власну думку)

 

Яка довжина відрізка ?

( см)

 

 

 

  •      Яка довжина відрізка ?

( см)

 

  •      Чи можемо виразити довжину відрізка інакше?

(Якщо учні говорять так – нехай наведуть власні приклади)

 

мм

Довжина відрізка – це відстань між його кінцями

дм

м

км

 

Яка довжина відрізка ?

( см)

 

 

 

  •      Що можемо сказати про довжину відрізка ?

(Учні висловлюють власну думку)

 

см

 

Аксіома 5

Основна властивість вимірювання відрізків:

Довжина відрізка дорівнює сумі довжин частин, на які він розбивається його внутрішньою точкою.

                         >> Рівні відрізки, середина відрізка <<

 

Два відрізки називають рівними, якщо рівні їх довжини.

 

Рівні відрізки позначаються однаковою кількістю рисочок.

 

З двох відрізків більшим є той, довжина якого є більшою

 

 

 

Серединою відрізка називають таку точку, яка ділить його на два відрізки рівної довжини.

 

Точка – середина відрізка , так як вона ділить його на два рівні відрізки см

 

  1. Закріплення нових знань та вмінь учнів

№1

Накресліть відрізки так, щоб , . Порівняйте довжини відрізків

 

Розв’язок:

 

 

 

 

 

 

 

 

 

 

 

 

№2

  1. Побудуйте відрізки так, щоб вони перетиналися в точці
  2. Скільки утворилося відрізків?
  3. Виміряйте довжину двох будь-яких відрізків та запишіть її

 

Розв’язок:

  1. В кожного учня буде унікальний рисунок;
  2. Утворилося 6 відрізків;
  3. Кожен учень отримає власну довжину відрізків;

 

 

 

 


№3

Точка лежить між точками . Знайдіть:

  1.     , якщо см, см;
  2.     , якщо дм, дм;

 

Розв’язок:

  1.     см;
  2.     дм;

 

 

Відповідь: 1) см; 2) 3 дм;

 

№4

Чи лежать точки на одній прямій, якщо:

  1.     ;
  2.     ;

У разі позитивної відповіді вкажіть, яка з точок лежить між двома іншими.

 

Розв’язок:

За основною властивістю вимірювання відрізків, довжина відрізка дорівнює сумі довжин частин, на які він розбивається його внутрішньою точкою.

 

*Отже, щоб перевірити чи лежать три точки на одній прямій, необхідно перевірити, чи дорівнює найбільша відстань між точками сумі двох інших відстаней.

  1.      

 

Точка лежить між точками

 

  1.      


№5

На прямій позначено точки , причому мм, см 2 мм, дм. Яка з точок лежить між двома іншими? Відповідь обґрунтуйте.

 

Розв’язок:

 

За основною властивістю вимірювання відрізків, довжина відрізка дорівнює сумі довжин частин, на які він розбивається його внутрішньою точкою. Отже, найбільша довжина дорівнює сумі двох інших довжин.

 

 

Відповідь: точка знаходиться між точками

 

№6

Точки належать відрізку . Знайдіть довжину відрізка , якщо см, см, см

 

Розв’язок:

Знайдемо довжину відрізків і , потім зможемо знайти довжину відрізка .

 

см

см

 

см

 

Відповідь: 17 см

 


№7

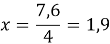
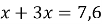
Точка належить відрізку дм. Визначте довжини відрізків , якщо:

  1.     втричі менший від ;
  2.     більший за на дм;

 

Розв’язок:

  1.     Нехай  

Складемо рівняння:

Отже, дм; ;

 

  1.     Нехай  

Складемо рівняння:

Отже, дм; дм;

 

Відповідь: 1) дм; ; 2) дм; дм;

 

  1. Підсумок уроку
  • Сформулюйте означення відрізка
  • Чи може відрізок бути від’ємним? Чому?
  • Яка точка називається внутрішньою точкою відрізка?
  • Яка точка є серединою відрізка?
  • Сформулюйте основну властивість вимірювання відрізків
  • На які геометричні фігури розділяють відрізок дві позначені на ньому точки, що не є кінцями цього відрізка?

 

  1. Домашнє завдання

Опрацювати §2
Виконати №14, 17, 23, 29

 

docx
До підручника
Геометрія.(підручник) 7 клас (Тадеєв В.О.)
Додано
17 грудня 2025
Переглядів
210
Оцінка розробки
Відгуки відсутні
Безкоштовний сертифікат
про публікацію авторської розробки
Щоб отримати, додайте розробку

Додати розробку