Розмальовка з математики на тему "Системи лінійних рівнянь з двома змінними""

Про матеріал
Потрібно розв'язати систему лінійних рівнянь та розфарбувати у відповідний колір малюнок
Перегляд файлу

Зображення, що містить ескіз, Лінійне мистецтво, Розмальовка, лінійне малювання

Вміст, створений ШІ, може бути неправильним.                                                                                                                        

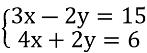
                       (4; 3)

     (4; 3)

 

 

 

 

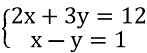
                                              (3; -3)                                     

      (3;-3)                                                                             (3; 2)

 

 

 

 

 

                                                       (1; 6)

                   

                                 (3; 2)

 

Розв’язати системи рівнянь:

                                          

 

 

                             

 

docx
Додав(-ла)
Зорійчук Рімма
Пов’язані теми
Алгебра, 7 клас, Інші матеріали
Додано
6 грудня 2025
Переглядів
109
Оцінка розробки
Відгуки відсутні
Безкоштовний сертифікат
про публікацію авторської розробки
Щоб отримати, додайте розробку

Додати розробку