Лінійні нерівності та системи лінійних нерівностей з однією змінною

8 запитань
Запитання 1

Розв’яжіть систему нерівностей:

варіанти відповідей

 (– ∞; 2)

(– ∞; 5]

(2; 5]

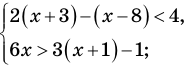
Запитання 2

Розв’яжіть систему нерівностей

варіанти відповідей

 x∊(2; 13]

x∊(2; 13)

x∊(-∾; 2)

x∊(-∾; 13]

Запитання 3

Розв'язком якої з наведених нерівностей є число 0,25 ?

варіанти відповідей

х2 - 1 > 0

 

 (3х - 5) : 3 > 1

  

  2х - 5 < - 4

Запитання 4

Оберіть усі (з запропонованих) розв'язки нерівності х -1 ≤ 10

варіанти відповідей

3,5

9

11

12

-5

Запитання 5

Розв'яжіть нерівність:

2х(х+2)<2х2+6х-12

варіанти відповідей

х є ⌈6; +∞)

х є (-∞; 6)

х є (6; +∞)

х є (-∞; 6⌉

Запитання 6

Розв’яжи систему нерівностей.


варіанти відповідей

⅔ <х<-10

⅔  >х >-10

⅔ <х<10

будь-яке число

інша відповідь

Запитання 7

Яке число є розвʼязком нерівності: x≤6 ?

варіанти відповідей

7

6

9

Запитання 8

Знайди найменше ціле число, що належить проміжку (-2,3; 1,5)

варіанти відповідей

-2,3

-2

-3

Створюйте онлайн-тести
для контролю знань і залучення учнів
до активної роботи у класі та вдома

Створити тест