Контрольна робота № 4 з теми «Молекулярна фізика (Властивості газів)» 2 варіант

Додано: 12 листопада 2025
Предмет: Фізика, 10 клас
7 запитань
Запитання 1

Стан макроскопічної системи, коли всі макроскопічні параметри системи залишаються незмінними як завгодно довго. (1 бал)



варіанти відповідей

а) Механічна рівновага                 

б) Хімічна рівновага


в) Теплова рівновага                   

г) Стійка рівновага

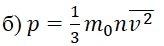
Запитання 2

Який вигляд має рівняння стану ідеального газу (рівняння Менделєєва – Клапейрона)? (1 бал)


варіанти відповідей
Запитання 3

Яка одиниця вимірювання кількісті речовини? (1 бал)


варіанти відповідей

а) моль–1              

 б) моль/кг               

в) кг/моль                  

г) моль

Запитання 4

На рисунку зображений цикл, який здійснюється з ідеальним газом. Яка ділянка відповідає ізобарному нагріванню? (1 бал)



варіанти відповідей

а) AB                

б) DA               

в) CD             

г) BC

Запитання 5

Газ в кількості 1000 моль при тиску 1 МПа має температуру 100 °С. Знайдіть об'єм газу. (2 бали)

варіанти відповідей

а) V = 6,1 м3

б) V = 2,1 м3

в) V = 3,1 м3

г) V = 4,1 м3

Запитання 6

Абсолютна температура одного моля ідеального газу збільшилася в 2 рази, а об’єм зменшився в 2 рази. Як змінився при цьому тиск газу? (1 бал)


варіанти відповідей

а) тиск зменшиться в 4 рази.

б) тиск збільшиться в 2 рази.

в) тиск збільшиться в 4 рази.

г) тиск не зміниться.

Запитання 7

При якій температурі молекули кисню мають середню квадратичну швидкість 700 м/с? (2 бали)

варіанти відповідей

а) Т = 630 К

б) Т = 530 К

в) Т = 730 К

г) Т = 330 К

Створюйте онлайн-тести
для контролю знань і залучення учнів
до активної роботи у класі та вдома

Створити тест