Контрольна робота "Функції" ( алгебра, 7 клас)

Додано: 16 квітня
Предмет: Алгебра, 7 клас
21 запитання
Запитання 1

Позначте лінійну функцію

варіанти відповідей

у = 2 - 5х

у = х² + 1

у = 6/х

Запитання 2

Графік якої функції проходить через точку (0;0)?

варіанти відповідей

у = 5х + 2

у = -1

у = -7х

Запитання 3

Функцію задано формулою у = 5х - 2. Знайдіть значення функції, якщо значення аргументу дорівнює 3.

варіанти відповідей

12

13

14

Запитання 4

Функцію задано формулою у = 5х - 2. Знайдіть значення аргументу, якщо значення фукції дорівнює 8.

варіанти відповідей

2

3

4

Запитання 5

Яка лінія є графіком лінійної функції?

варіанти відповідей


Крива

пряма

коло

відрізок

Запитання 6

5, Не виконуючи побудови, знайдіть координати точок перетину з осями координат: у= 49- 7х

варіанти відповідей

( 49;0) і ( 7;0)

(-7; 0) і ( 0; 49)

(0; 49) і ( 7;0)

(0; 49) і ( -7;0)

Запитання 7

Усі значення, яких набуває незалежна змінна - це...

варіанти відповідей

функція

аргумент

область визначення

область значень

Запитання 8

На якому з рисунків зображено графік функції у = х - 3?

варіанти відповідей
Запитання 9

Задано функцію y = 4x. Яка змінна буде залежною?

варіанти відповідей

х

у

Запитання 10

6.Не виконуючи побудови графіка функції у= - 3х + 4, визначте, через які з даних точок проходить цей графік:

варіанти відповідей

А ( -2; 10)

В ( 5 ; 8)

с ( 6; -7)

Д ( 0; 3)

Запитання 11

Які з даних записів задають функцію?

варіанти відповідей

5+2x = 2+ 7x

a = 4b +8

2x + 6 >5

25:5-5 = 0

Запитання 12

Знайдіть значення функції, заданої формулою у = 5х -7, для значення аргументу -2.

варіанти відповідей

17

3

-3

-17

Запитання 13

Чи проходить графік функції, заданої формулою у=4-х2, через точку (3;-5)?

варіанти відповідей

Так

Ні

Не можливо визначити

Запитання 14

змінна х - це

варіанти відповідей

ордината

абсциса

функція

аргумент

Запитання 15

Знайдіть значення функції y = 2x - 4, якщо x = - 3

варіанти відповідей

10

2

-1

-10

-2

1

Запитання 16

За графіком, зображеним на малюнку знайдіть значення у, якщо х = -0,5

варіанти відповідей

1,5

-1

1

2

Запитання 17

За графіком, зображеним на малюнку знайдіть нулі функції

варіанти відповідей

0

2

-2

-1

3

Запитання 18

Лінійну функцію задано формулою у = 2х + 7.

якщо х = 2, то у =    ;

  

варіанти відповідей

7

2

11

0

Запитання 19

Лінійну функцію задано формулою у = 2х + 7. Якщо у = 15, то х =  ....  

варіанти відповідей

2

7

4

3

Запитання 20

Лінійну функцію задано формулою у = 2х + 7. Чи проходить графік даної функції через т.М(- 2; 3)?    

варіанти відповідей

так

ні

не можливо визначити

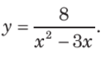
Запитання 21

Які значення х не входять до області визначення функції

варіанти відповідей

0 і 9

0 і 3

3 і -3

1 і 9

Створюйте онлайн-тести
для контролю знань і залучення учнів
до активної роботи у класі та вдома

Створити тест