Симуляція НМТ 1

Додано: 20 січня
Предмет: Математика, 11 клас
Копія з тесту: НМТ 8 (15.06.23 (1))
12 запитань
Запитання 1

Кількість виготовлених підприємством за рік столів відноситься до кількості виготовлених ним стільців як 3 : 4. Якою може бути сумарна кількість столів і стільців, виготовлених цим підприємством за рік?

варіанти відповідей

101

91

87

72

95

Запитання 2

Пряма l перетинає паралельні прямі m і n (див. рисунок). Визначте градусну міру кута α, якщо α + β = 74°.

варіанти відповідей

33°

53°

32°

37°

42°

Запитання 3

На діаграмі відображено інформацію про кількість глядачів, які протягом доби відвідали 5 залів кінотеатру: білу, блакитну, жовту, зелену та фіолетову. За діаграмою визначте залу кінотеатру, яку відвідало найбільше глядачів.

варіанти відповідей

біла

блакитна

жовта

зелена

фіолетова

Запитання 4

Розв’яжіть нерівність (x + 3)(x – 2)< 0.

варіанти відповідей
Запитання 5

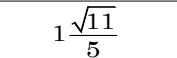
Знайдіть значення

варіанти відповідей

1

lg65

2

3

4

Запитання 6

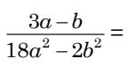
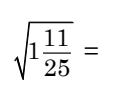
Обчисліть

варіанти відповідей
Запитання 7

Кути гострокутного трикутника ABC задовольняють умову ∠A <∠B<∠C. Які з наведених тверджень є правильними?

I.  AB – найдовша сторона трикутника ABC.

II. Трикутника ABC – рівнобедрений.

III. Довжина висоти, проведеної з вершини A, менша за довжину сторони AC.

варіанти відповідей

лише I

лише IIІ

лише I та IIІ

лише IІ та III

I, II та III

Запитання 8

На рисунку зображено ромб, сторона якого дорівнює a, а кут між стороною та меншою діагоналлю – β. Визначте радіус 

кола, уписаного в цей ромб.

варіанти відповідей
Запитання 9

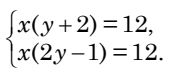
Розв’яжіть систему рівнянь. Якщо (x0; y0) – розв’язок цієї cистеми, то x0 =


варіанти відповідей

2,4

12

0,4(6)

Запитання 10

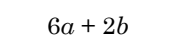
Спростіть

варіанти відповідей
Запитання 11

В арифметичній прогресії (an): a1 = 4, a3 = 9. Визначте різницю d прогресії.

варіанти відповідей

d = –2,5

d = 6,5

d = 5

d = 2,5

d = –5

Запитання 12

Укажіть корінь рівняння tg πx = 1.

варіанти відповідей

Створюйте онлайн-тести
для контролю знань і залучення учнів
до активної роботи у класі та вдома

Створити тест