Правильний многокутник (перший тест)

Додано: 14 вересня 2023
Предмет: Геометрія, 10 клас
Тест виконано: 16 разів
10 запитань
Запитання 1

Знайдіть кількість сторін правильного многокутника із кутом 150°

.

варіанти відповідей

14

18

10

12

Запитання 2

Які з наведених многокутників є правильними ?

варіанти відповідей

паралелограм

рівносторонній трикутник

рівнобедрений трикутник

квадрат

Запитання 3

Правильним називається опуклий многокутник , у якого :

варіанти відповідей

правильні сторони і кути

рівні сторони і кути усі гострі

парна кількість сторін і кутів

рівні кути і сторони

Запитання 4

Знайти міру кута правильного вісімнадцятикутника.

варіанти відповідей

140°

150°

160°

120°

Запитання 5

Многокутник називається ............, якщо він розміщений по одну сторону від будь-якої своєї сторони, необмежено продовженої.

варіанти відповідей

неопуклим

опуклим

правильним

неправильним

Запитання 6

Скільки діагоналей можна провести у квадрата?

варіанти відповідей

2

жодної

1

4

Запитання 7

Скільки діагоналей можна провести у трикутника?

варіанти відповідей

1

2

3

жодної

Запитання 8

У правильного трикутника усі кути дорівнюють -

варіанти відповідей

60о

90о

120о

45о

Запитання 9

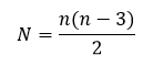
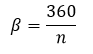
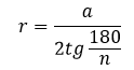
За якою формулою обчислюється внутрішній кут многокутника?

варіанти відповідей
Запитання 10

Яка з фігур є правильним многокутником?


варіанти відповідей

Трапеція

Квадрат

Прямокутний трикутник

Коло

Створюйте онлайн-тести
для контролю знань і залучення учнів
до активної роботи у класі та вдома

Створити тест