Системи лінійних рівнянь з двома змінними.

Додано: 24 квітня
Предмет: Алгебра, 7 клас
4 запитання
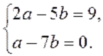
Запитання 1

Розв'яжіть систему способом підстановки:

варіанти відповідей

a = -7, b = 1

a = 7, b = 1

a = 7, b = -1

a = -7, b = -1

Запитання 2

Розв'яжіть систему способом підстановки:


варіанти відповідей

(1,5; 2)

(-1,5; 2)

(-1,5; -2)

(1,5; -2)

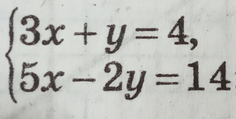
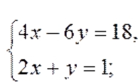
Запитання 3

Розв'яжіть систему способом додавання:

варіанти відповідей

 (12; 24)

(6; 0)

(-12; -24)

(-6; 0)

Запитання 4

Розв'яжіть систему способом додавання:

 

варіанти відповідей

 (2; -2)

(-2; 2)

 (2; 2)

 (-2; -2)

Створюйте онлайн-тести
для контролю знань і залучення учнів
до активної роботи у класі та вдома

Створити тест