Самостійна робота № 4 з теми «Вільне падіння та криволінійний рух під дією незмінної сили тяжіння» 2 варіант

8 запитань
Запитання 1

Камінець кинули горизонтально до поверхні Землі. Чи змінюється швидкість руху камінця? Якщо змінюється, то як? (1 бал)



варіанти відповідей

а) Так, на початку руху швидкість камінця є найбільшою.


б) Так, змінюється тільки напрям швидкості руху камінця.


в) Ні, швидкість руху камінця залишається незмінною.


г) Так, швидкість руху камінця змінюється як за модулем, так і за напрямом.

Запитання 2

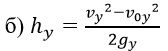
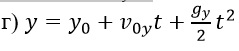
Виберіть рівняння залежності проекції швидкості від часу. (1 бал)

варіанти відповідей
Запитання 3

Яка одиниця вимірювання прискорення вільного падіння? (1 бал)



варіанти відповідей

а) м                    

б) с                 

в) м/с                    

г) м/с2

Запитання 4

Тіло вільно падає без початкової швидкості. Який графік залежності проекції швидкості руху тіла від часу може відповідати цьому рухові? (1 бал)

варіанти відповідей

а) Графік 1                    


б) Графік 2


в) Графік 3                   

г) Графік 4

Запитання 5

Стріла випущена з лука вертикально вгору зі швидкістю 20 м/с. Визначте максимальну висоту підйому стріли. (2 бали)

варіанти відповідей

а) h = 15 м

б) h = 10 м

в) h = 5 м

г) h = 20 м

Запитання 6

М'яч, кинутий з вежі горизонтально зі швидкістю 6 м/с, впав на відстані 12 м від підніжжя вежі. Чому дорівнює висота вежі? (1 бал)

варіанти відповідей

а) h = 10 м

б) h = 25 м

в) h = 20 м

г) h = 7 м

Запитання 7

Спортсмен штовхає ядро з початковою швидкістю 18 м/с під кутом 45° до горизонту. Визначте час польоту ядра. (2 бали)

варіанти відповідей

а) t ⋍ 1,5 с

б) t ⋍ 2,5 с

в) t ⋍ 3,5 с

г) t ⋍ 0,5 с

Запитання 8

Камінь, кинутий під кутом до горизонту, досягнув найбільшої висоти 20 м. Знайдіть час підйому каменю. (3 бали)

варіанти відповідей

а) tA = 3 с

б) tA = 1 с

в) tA = 4 с

г) tA = 2 с

Створюйте онлайн-тести
для контролю знань і залучення учнів
до активної роботи у класі та вдома

Створити тест