Розв'яжіть рівняння cos x= 3
Розв'яжіть рівняння cos x= -1
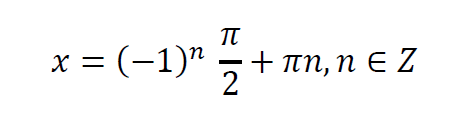
Розв'яжіть рівняння sin x= √2/2
Розв'яжіть рівняння sin x= - √3/2
Розв'яжіть рівняння tg 2x= 1
Розв'яжіть рівняння sin (П/4 - х)=√3/2
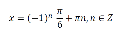
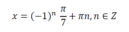
розв'язати рівняння:

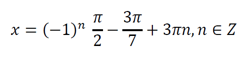
розв'язати рівняння:

Створюйте онлайн-тести
для контролю знань і залучення учнів
до активної роботи у класі та вдома