Системи лінійних рівнянь. Графічний спосіб

Додано: 13 березня
Предмет: Алгебра, 7 клас
10 запитань
Запитання 1

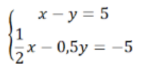
Яка з наведених систем рівнянь не має розв’язів?

варіанти відповідей
Запитання 2

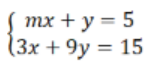
Визначте значення m , при якому система рівнянь не має розв’язків:   

варіанти відповідей

-3

9

Запитання 3

Графічний спосіб розв'язування системи рівнянь полягає у...

варіанти відповідей

Побудові графіків рівнянь та визначення координати точки перетину

Додавання обох рівнянь

 Побудові одного графіка

Виділення однієї змінної через іншу

Запитання 4

Скільки розв'язків має система лінійних рівнянь, графіки яких зображені на малюнку?

варіанти відповідей

жодного

   

 один

  

безліч

 

 два

Запитання 5

Розв'язком системи рівнянь з двома змінними - це... (виберіть усі можливі варіанти)

варіанти відповідей

координати точки перетину графіків рівнянь

пара змінних, які є розв'язком одного з рівнянь

 пара змінних, які є розв'язком кожного з рівнянь

доведення того, що розв'язків немає

доведення того, що розв'язків безліч

невідоме число х, яке є розв'язком кожного з рівнянь

Запитання 6

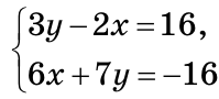
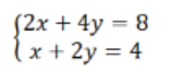
Яка з наведених систем рівнянь має безліч розв’язів?

варіанти відповідей
Запитання 7

Яка з пар чисел є розв'язком системи?

варіанти відповідей

(2; - 5)

(- 5; 2)

(4; - 2)

(- 2; 4)

Запитання 8

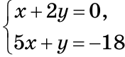
Пара чисел (6; 4) є розв'язком системи. Знайдіть a і b.

варіанти відповідей

a = 6, b = - 6

a = 6, b = 6

a = 6, b = 4

a = 4, b = 6

Запитання 9

До рівняння 2х - 3у = 6 доберіть друге рівняння так, щоб отримана система не мала розв'язків

варіанти відповідей

- 2х - 3у = - 6

- х + 1,5у = - 4

0,2х + 0,3у = 0,6

4х - 6у = 12

Запитання 10

На чернетці графічно розв'яжіть систему рівнянь. Якщо (хоо) - розв'язок системи, то виберіть серед запропонованих чисел добуток хо⋅уо

варіанти відповідей

- 6

- 8

- 4

- 12

- 2

Створюйте онлайн-тести
для контролю знань і залучення учнів
до активної роботи у класі та вдома

Створити тест