Системи рівнянь другого степеня, групи

Додано: 27 січня
Предмет: Алгебра, 9 клас
11 запитань
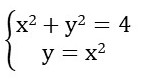
Запитання 1

Графік якої системи рівнянь зображено на рисунку?

варіанти відповідей
Запитання 2

За рисунком, на якому зображено графіки рівнянь, визначте кількість розв'язків системи цих рівнянь.

варіанти відповідей

жодного

два

один

неможливо визначити

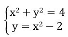
Запитання 3

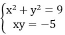
Які фігури є графіками рівнянь системи

варіанти відповідей

пряма

парабола

гіпербола

коло

трикутник

квадрат

трапеція

Запитання 4

Якщо система складається з рівнянь графіки яких не перетинаються, то система

варіанти відповідей

має один розв'язок

не має розв'язків

має два розв'язки

має безліч розв'язків

Запитання 5

Розв’язком системи рівнянь із двома змінними є

варіанти відповідей

пара чисел (x;y)

число x

пара чисел, які задовольняють кожне рівняння системи

число y

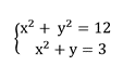
Запитання 6

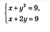
Яка пара чисел є розв'язком системи рівнянь

варіанти відповідей

(0; 3)

(3; 0)

(2; 5)

(5; 2)

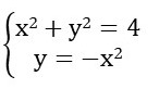
Запитання 7

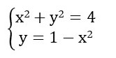
Які фігури є графіками рівнянь системи

варіанти відповідей

пряма і парабола

парабола і гіпербола

коло і парабола

коло і гіпербола

Запитання 8

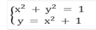
Побудуйте схематично графіки рівнянь та дайте відповідь на питання:

Скільки розв*язків має система рівнянь?

варіанти відповідей

неможливо визначити

один

розв*язків немає

два

Запитання 9

Вкажіть графічне розв*язування даної системи рівнянь

варіанти відповідей
Запитання 10

Використовуючи графік функції, розв`яжить нерівність: х²+2х-8<0

варіанти відповідей

 (-4;2)

 (-∞;-4)υ(2;+∞) 

 (-∞;-4]υ[2;+∞)

(-9;2)

Запитання 11

Визначити напрямок гілок параболи функції у = - 9х2 + 6 х -1

варіанти відповідей

Вгору

Вниз

Створюйте онлайн-тести
для контролю знань і залучення учнів
до активної роботи у класі та вдома

Створити тест