Похідна та її застосування

Про матеріал
Даний матеріал: Алгебра 10. Всі завдання відібрані з НМТ 2022-2025 років, по темі "ПОХІДНА ТА ЇЇ ЗАСТОСУВАННЯ". Можна використовувати на уроках при закріпленні та повторенні даної теми, що сприятиме підготовці учнів .
Перегляд файлу

ПОХІДНА  ТА  ЇЇ  ЗАСТОСУВАННЯ

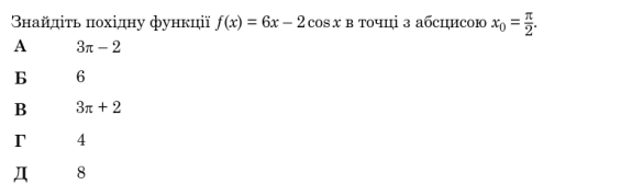
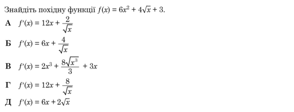
  1. НМТ 2022-2 №12

img

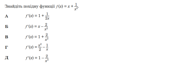
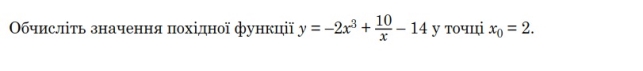
  1. НМТ 2022-1 №12

img

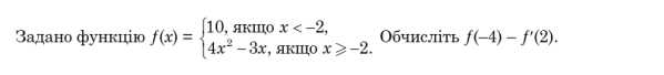
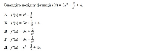
  1. НМТ 2023-2 №11

img

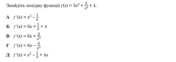
  1. НМТ 2023-1 №12

img

  1. МТ 20.06.2023 №19

img

  1. НМТ 16.06.2023 №9

img

  1. НМТ 16.06.2023 №19

img

  1. НМТ 16.06.2023 №14

img

  1. НМТ 14.06.2023 №13

img

  1. НМТ 14.06.2023 №20

img

  1. НМТ 13.06.2023 №20

img

  1. НМТ 13.06.2023 №17

img

  1. НМТ 09.06.2023 №13

img

  1. НМТ 08.06.2023 №21

img

 

 

  1. НМТ 07.06.2023 №5

img

  1. НМТ 07.06.2023 №19

img

  1. НМТ 2024 21.06.2024 №19

img

  1. НМТ 2024 20.06.2024 №19

img

  1. НМТ 2024 14.06.2024 №5

img

  1. НМТ 2024 14.06.2024 №19

img

 

  1. НМТ 2024 13.06.2024 №11

img

  1. НМТ 2024 12.06.2024 №14

img

  1. НМТ 2024 06.06.2024 №19

img

  1. НМТ 2024 05.06.2024 №15

img

 

 

 

  1. НМТ 2024 01.06.2024 №19

img

  1. НМТ 2024 №15

img

  1.  НМТ 19.06.2025  № 20

img

  1. НМТ 12.06.2025  № 13

img

  1.  НМТ 11.06.2025  № 20

img

  1.  НМТ 06.06.2025  № 20

img

 

 

 

 

  1. НМТ 05.06.2025  № 13

img

  1.  НМТ 31.05.2025  № 20

img

  1.  НМТ 2025  № 6

img

  1. НМТ 2025  № 11

img

 

 

 

  1. НМТ 2025  № 13

img

 

docx
Додано
11 серпня 2025
Переглядів
101
Оцінка розробки
Відгуки відсутні
Безкоштовний сертифікат
про публікацію авторської розробки
Щоб отримати, додайте розробку

Додати розробку