Лінійні та квадратні нерівності, їх системи. Підготовка до НМТ

Додано: 17 грудня 2024
Предмет: Математика, 11 клас
6 запитань
Запитання 1

Скільки цілих розвʼязків має нерівність?

варіанти відповідей

сім

шість

пʼять

безліч

Запитання 2

Знайдіть найбільший цілий розв’язок нерівності

варіанти відповідей

-1

0

1

2

Запитання 3

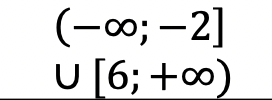
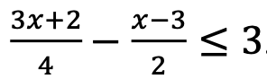
Розв’яжіть нерівність

варіанти відповідей
Запитання 4

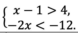
Розв’яжіть систему нерівностей

варіанти відповідей
Запитання 5

Обчисліть суму натуральних розв’язків нерівності

варіанти відповідей

3

6

10

15

обчислити неможливо

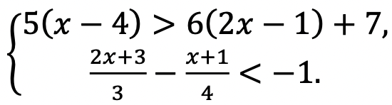
Запитання 6

Розв’яжіть систему нерівностей

варіанти відповідей

Створюйте онлайн-тести
для контролю знань і залучення учнів
до активної роботи у класі та вдома

Створити тест