Тотожні перетворення виразів. Підготовка до НМТ

Додано: 24 березня 2025
Предмет: Математика, 11 клас
10 запитань
Запитання 1

Знайти число, якщо 12% від нього становить 48.


варіанти відповідей

400

480

25

120

Запитання 2

Будівельна компанія закупила для нового будинку металопластикові вікна

та двері у відношенні 4:1. Укажіть число, яким може виражатися загальна кількість


варіанти відповідей

41

45

54

68

Запитання 3

Подайте у вигляді степеня вираз:


варіанти відповідей

72/5

71/10

74/5

79/10

Запитання 4

Знайдіть значення виразу

x2 − 4x + 4, якщо x = 2 − √5 .

варіанти відповідей

-5

5

13 - 4√5

13 + 4√5

Запитання 5

Знайдіть значення виразу , 5cos2 x − 1, якщо sin2 х = 0,4

варіанти відповідей

2

- 0,2

- 2

1

Запитання 6

Обчисліть значення виразу

log5 49 + 2log5 5/7.


варіанти відповідей

0

1

2

4

Запитання 7

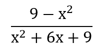
Спростіть вираз:

варіанти відповідей
Запитання 8

Спростіть вираз: (х6)4 : х 2

варіанти відповідей

х5

х12

х10

х22

Запитання 9

Знайдіть значення виразу

варіанти відповідей

2,25

81

69/4

20,25

Запитання 10

Обчисліть tg α, якщо:

варіанти відповідей

3/5

1/3

1/5

5/3

Створюйте онлайн-тести
для контролю знань і залучення учнів
до активної роботи у класі та вдома

Створити тест