10-Б Вектори у просторі

Додано: 18 березня
Предмет: Геометрія, 10 клас
Копія з тесту: Вектори у просторі
9 запитань
Запитання 1

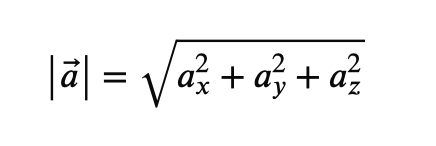
Формула для знаходження модуля вектора  а̅ (аx; аy; аz)

варіанти відповідей
Запитання 2

Знайдіть координати вектора АВ, якщо А(-3;4;7) і В(-3;2;16)

варіанти відповідей

(-6; 6; 23)

(0; -2; 9)

(0; 2; -9)

Запитання 3

Знайдіть модуль вектора x̄ (-1; -2; 2)

варіанти відповідей

-5

1

-3

3

Запитання 4

Які вектори рівні? 

варіанти відповідей

мають рівну довжину

мають рівну довжину і різні за напрямком

мають однаковий напрямок

мають рівну довжину і однаковий напрямок

Запитання 5

Знайдіть координати вектора М̅К , якщо М(10;-4;2)К(16;2;-5)

варіанти відповідей

(-6; 6; 7)

(6; 6; 7)

(-6; -2; 3)

(6; -2; -3)

Запитання 6

При якому значенні вектори ̅a(6;2n-1; 4) і ̅b(6;9-3n; 4) 

будуть рівними? 

варіанти відповідей

1

-2

-1

2

Запитання 7

Укажіть рівні вектори

варіанти відповідей

ĀА1=ĀB

A̅C= A̅D

Ā1C1= A̅C

А̅А1=D̅D1

Запитання 8

Абсолютна величина вектора а̅(5;3;z) дорівнює 9. Знайдіть z. 

варіанти відповідей

z = ±√47

z = 13

z = -13

z = ±√38

Запитання 9

Дано А̅В(-2; 1; -3), С(0; 2; -1).Знайдіть точку D(x; y; z) ,якщо вектори A̅B=C̅D

варіанти відповідей

D(-2; -3; -4)

D(-2; -1; -20)

D(2; -3; -4)

D(-2; 3; -4)

Створюйте онлайн-тести
для контролю знань і залучення учнів
до активної роботи у класі та вдома

Створити тест