Застосування первісної.

Про матеріал
Презентація до відкритого уроку з алгебри та початків аналізу з теми "Первісна функції та її застосування".
Зміст слайдів
Номер слайду 1

Застосування визначеного інтегралу до розв`язування задач

Номер слайду 2

Мета уроку: узагальнити та систематизувати знання про визначений інтеграл; показати його місце і значення при розв`язуванні задач геометричного, фізичного змісту; прикладного характеру, удосконалити навички застосовування набутих знань в нестандартних умовах; розвивати творчі здібності та логічне мислення,інформаційно - цифрову ,математичну та комунікативну компетентності, сприяти підготовці до НМТ та до контрольної роботи з теми.

Номер слайду 3

Плюс  мінус  життя. Таблиця  розмноження. Квадратний  корінь  із  мрій  романтика. Два  пишем,  три  помічаєм. Розношенащоденнапростаматематика. Душа  підіймається  до  вищої. Душа  обчислює  суму  площ:минуле  -  майбутнє  -  живі  і  знищені  -правда  -  поезія  -  атомний  дощ. Дракон  -  Атлант  -  телефон  -  калина  -віра  -  вірус  -  мільярди  -  нулі... Життя  оперує  безконечно  малими. Ми  всі  поодинці  -  також  малі. Але  з  усмішки,з  потиску  рук,з  брехні,  убитої  наповал,історія  -  найскладніша  з  наук  -обчислює  ЗОРЯНИЙ  ІНТЕГРАЛ.Із  найдрібніших  зоряних  крихт!Вища  математика  світу!З  СУМИ  БЕЗКОНЕЧНО  МАЛИХВИНИКАЄ  БЕЗКОНЕЧНО  ВЕЛИКЕ. ЗОРЯНИЙ ІНТЕГРАЛ (Уривки з поеми) Костенко Ліна

Номер слайду 4

Ісаак Ньютон (1643-1727) – один з творців диференціального обчислення. Ньютон ввів поняття похідної, вивчаючи закони механіки, тим самим розкрив її механічний зміст. Лейбніц Готфрід Фрідріх (1646 – 1716) – великий німецький учений, філософ, математик, фізик, юрист, мовознавець, Лейбніц прийшов до поняття похідної, вирішуючи задачу проведення дотичної до довільної лінії, пояснивши цим її геометричний зміст

Номер слайду 5

Галілео Галілей«Філософія написана в тій книзі, яка завжди відкрита в нас перед очима (я маю на увазі Всесвіт), але яку неможливо зрозуміти, якщо заздалегідь не вивчити її мову».

Номер слайду 6

Перевірка знань та вміньІнтерактивна вправа https://wordwall.net/resource/85009201 Так/Ні

Номер слайду 7

1)𝑠𝑖𝑛𝑥𝑑𝑥2) 𝑐𝑜𝑠𝑥𝑑𝑥3) 1𝑐𝑜𝑠2𝑥𝑑𝑥4) 𝑥𝑛𝑑𝑥5) 𝑒𝑥𝑑𝑥6) 𝑎𝑥𝑑𝑥7) 1𝑠𝑖𝑛2𝑥𝑑𝑥У С П І Ш Н 0 - ctgx +C О  𝑒𝑥+ C Ш tgx +C П - cosx +C У 𝑥𝑛+1𝑛+1+C І sinx +C С 𝑎𝑥𝑙𝑛𝑎 + С Н  Установіть відповідність між виразами у I та II стовбчиках

Номер слайду 8

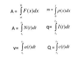
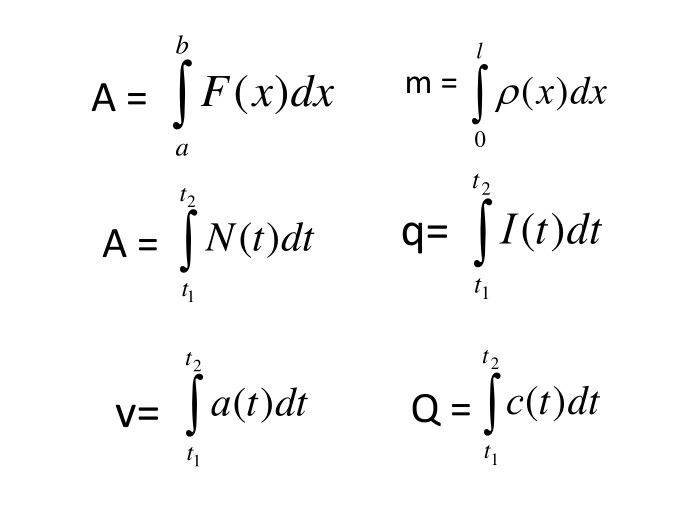
Застосування визначеного інтеграла в геометрії

Номер слайду 9

у= f (x )abxу. S = S

Номер слайду 10

у= f (x )abxу. S

Номер слайду 11

y = f (x )y = q(x )xy. Sab

Номер слайду 12

{BC89 EF96-8 CEA-46 FF-86 C4-4 CE0 E7609802} 64 1/3 2 Усний рахунок

Номер слайду 13

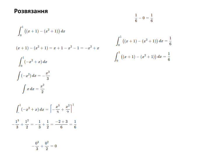
Знайти площу заштрихованої фігури

Номер слайду 14

Розвязання

Номер слайду 15

Номер слайду 16

2. Знайти загальний вигляд первісних для функції f :а)б)в)г)д)е)к)л)

Номер слайду 17

Застосування визначеного інтеграла в фізиці

Номер слайду 18

m =А =А =q=Q =v=

Номер слайду 19

Застосування в фізиціЗадача №2. Автомобіль BMW рухається зі швидкістю, що описується законом 𝑣𝑡=3𝑡2+1 (м/с) бере участь у гонках. Сусідній автомобіль Audi за перші 2 секунди після початку руху проїде 15 м. Який з автомобілів буде попереду після старту?  

Номер слайду 20

так як 𝑆=02𝑣𝑡𝑑𝑡=𝑆2−𝑆0 і 𝑆𝑡 є первісною для 𝑣𝑡 маємо 𝑆=02(3𝑡2+1)𝑑𝑡=(𝑡3  +𝑡)𝐼20 =8 +2=10(м), значить Audi буде попереду. Знайдемо шлях,пройдений BMW за 2 сек.

Номер слайду 21

Фінансисти. Експериментально встановлено, що продуктивність праці робітника наближено виражається функцією f(x)=-0,0033t²-0,089t+20,96,де t – робочий час робітника у годинах. Обчислити обсяг випуску продукції за квартал, вважаючи робочий день восьмигодинним, а кількість робочих днів у кварталі 62.

Номер слайду 22

Результат

Номер слайду 23

Обчислення

Номер слайду 24

Перевірка знань та вміньІнтерактивна вправа https://wordwall.net/resource/85009201https://wordwall.net/resource/85012091 Кросворд. Так/Ні

Номер слайду 25

Номер слайду 26

Номер слайду 27

Домашнє завдання. Практичне: О. С. Істер. Математика 11кл. Рівень стандарту. Видавництво Генеза, 2018 р., § 12, №11.3; №11.5; №11.7 Творче: написати есе про застосування визначеного інтегралу в житті людини.

Номер слайду 28

Номер слайду 29

«Той, хто серйозно прямує до пізнання істини, не повинен займатися якоюсь однією наукою, бо всі вони взаємозв’язані»Рене декарт

Номер слайду 30

pptx
Пов’язані теми
Алгебра, Розробки уроків
Додано
23 грудня 2025
Переглядів
94
Оцінка розробки
Відгуки відсутні
Безкоштовний сертифікат
про публікацію авторської розробки
Щоб отримати, додайте розробку

Додати розробку