Підсумкова робота з алгебри для учнів 8 класу(форма навчання екстернат)

Про матеріал
Підсумкова контрольна робота з алгебри для екстернатної форми навчання. Містить завдання на перевірку знань і вмінь з основних тем курсу.
Перегляд файлу

Підсумкова робота з алгебри на оцінювання навчальних досягнень учнів, що здобувають освіту за  формою екстернат

8 клас

Група результатів 1

Досліджує ситуації та створює математичні моделі

Група результатів 2

Розв’язує математичні задачі

Група результатів 3

Інтерпретує та критично аналізує результати

 

Зміст завдання

ГР1

ГР2

ГР3

1.

У яких координатних чвертях знаходиться графік функції

у = .

А) І і ІІІ чверті; Б) ІІ і ІІІ чверті; В)ІІІ і ІVчверті; Г) І і ІVчверті

 

0,5

0

0

2.

Який вираз має зміст при будь - якому значенні х?

А) ;      Б) ;    В) Г)

0.5

0

1

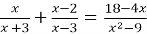
3.

 

Розв’яжіть рівняння:       +  .

 

1

1

1

4.

Обчисліть: 16-3 : 8-2

А) 4;   Б) ;   В) 32;   Г) .

 

1

1

1

5.

Сторони прямокутника 8·10-2м та 2 ·10-1м. Знайдіть площу прямокутника.

А) 1,6 ·10-2м2;   Б) 16 ·10-2м2;  В) 1,6 ·10-3м2; Г) 16 ·10-4м2.

1

1

1

6.

Знайдіть значення виразу , при х=.

А) 3;   Б) 2;   В) -3;   Г) -2.

1

1

1

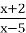
7.

Виконайте ділення:.

1

1

0

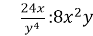
8.

Скоротіть дріб:.

 

2

2

2

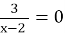
9.

Розв’яжіть рівняння:    ;

 

2

2

2

10.

З одного пункту до іншого одночасно виїхали два автомобілі. Швидкість першого на 20км/год більша за швидкість другого. Перший автомобіль прибув на 1год раніше. Знайти швидкості автомобілів, якщо відстань між містами 120км.

2

3

3

 

docx
До підручника
Алгебра 8 клас (Мерзляк А. Г., Полонський В. Б., Якір М. С)
Додано
16 квітня
Переглядів
483
Оцінка розробки
Відгуки відсутні
Безкоштовний сертифікат
про публікацію авторської розробки
Щоб отримати, додайте розробку

Додати розробку