Шпаргалка "Квадратні рівняння"

Про матеріал
Матеріали містять алгоритм розвязування квадратного рівняння. та приклади розвязання неповних та повних квадратних рівнянь.
Перегляд файлу

 1)  2 +7х= 0

2     х(2х +7) =0

   х1=0 або 2х+7=0

              2х=-7

              х=-7:2

              х2=-3,5

Відповідь: 0; -3,5

 2) 3х2 - 9х = 0

2     3х(х - 3) =0

  3х=0 або х-3 = 0

  х1=0         х2=3

 

Відповідь: 0; 3

3) -5х2 +8х=0

  х(-5х+8)=0

  х1 = 0 або -5х+8=0

                  -5х= -8

                   х=-8:(-5)

                    х2=1,6

Відповідь: 0; 1,6

НЕПОВНІ КВАДРАТНІ РІВНЯННЯ

 

 

4)2х2 - 32= 0

2      2  = 32

    х2 = 32:2

    х2 = 16

 х1= =-4

 х2= = 4

Відповідь: -4; 4

5)-3х2 + 27 = 0

2       -3х2  = -27

       х2= -27:(-3)

       х2 = 9

   х1= = -3

   х2= =3

 Відповідь: -3; 3

6)5х2 +8=0

      2 = -8

      х2 = -8:5

      х2= -1,6

Відповідь: коренів немає

 

7)- 2х2 +36= 0

2     - 2х2  = - 36

    х2 = - 36 : (-2)

    х2 = 18

 х1= = - 3

 х2= = 3

Відповідь:- 3 3

8)3х2 - 6 = 0

2       2  = 6

       х2= 6:3

       х2 = 2

   х1=

   х2=

 Відповідь:

 

9)5х2 =0 

х=0

Відповідь:  0

АЛГОРИТМ РОЗВ’ЯЗУВАННЯ КВАДРАТНОГО РІВНЯННЯ

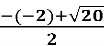
  1.              9х2 – 12 х-5=0

а=9,   b= -12,   c=-5

D=b2 – 4ac

D=(-12)2 - 4∙9∙(-5) = 144+180=324>0

х1 =   х1 = = =;

 

х2 =   х2 = = = = 1.

Відповідь:

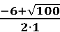
  1.         х2 – 10 х+25=0  (зведене рівняння)

а=1,   b= -10,   c=25

D=b2 – 4ac

D=(-10)2 - 4∙125 = 100-100 = 0

х =   х = - = 5;

Відповідь:

  1. х2 – 6 х+12=0

а=1,   b= -6,   c=12

D=b2 – 4ac

D=(-6)2 - 4∙112 = 36-48 = -12<0

Відповідь: коренів немає

  1.  2 – 3 х+11=0

а=2,   b= -3,   c=11

D=b2 – 4ac

D=(-3)2 - 4∙211 = 9-88 = -79 <0

Відповідь: коренів немає

  1. х2 +5 х-3=0

а=1,   b= 5,   c=-3

D=b2 – 4ac

D=(-5)2 - 4∙1∙(-3) = 25+12=37>0

х1 =   х1 = ;

х2 =   х2 =

Відповідь: ;

  1. х2+6-16 =0, =

х2+6 -16 =0

1)Якщо х≥0, то х2+6х -16 =0

а=1,   b= 6,   c=-16

D=b2 – 4ac

D= 62 - 4∙1∙(-16) = 36+64=100>0

х1 =   х1 = = = -8

х2 = х2 = = = 2

 Корінь -8 не задовольняє умову х≥0, тому х=2.

2) х< 0 ,   х2- 6х -16 =0

а=1,   b= - 6,   c=-16

D=b2 – 4ac

D= (-6)2 - 4∙1∙(-16) = 36+64=100>0

х1 =   х1 = = = -2

х2 = х2 = = = 8

Корінь х=8 не задовольняє умову х< 0,

Тому х= -2

Відповідь: -2; 2

6) х2 -2 х-4=0

а=1,   b= -2,   c=-4

D=b2 – 4ac

D=(-2)2 - 4∙1∙(-4) = 4+16=20>0

х1 =   х1 = =;

 

х2 =   х2 = = Відповідь:

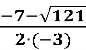
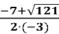
  1. -3 х2 +7 х +6=0

а=-3,   b= 7,   c=6

D=b2 – 4ac

D= 72 - 4∙(-3)∙6 = 49+72=121>0

 

х1 =   х1 = = =

 

х2 =   х2  = = =

 

Відповідь:

 

 

 

 

 

 

 

Зведене квадратне рівняння.  Теорема Вієта

х2+px+q=0

ТЕОРЕМА ВІЄТА: Сума коренів зведеного квадратного рівняння дорівнює другому коефіцієнту, взятому з протилежним знаком, а добуток коренів – вільному члену

х2 – 9х+14=0

х12 = 9

х1∙х2 =14         

х1= 2; х2 =7

Відповідь: 2;7

Корені рівняння знаходимо способом підбору

1∙14 =14;    1+14 =15 – не підходить

14=1∙2∙7

2∙7 =14;   2+7 =9

х2 – 7х - 18=0

х12 = 7

х1 ∙х2 =-18         

х1= - 2; х2 = 9

Відповідь: -2;9

1∙18 =18   1+18=19, ні

2∙9 = 18

Добуток від’ємний, а сума додатна, тому менший доданок буде зі знаком «-»

-2∙9 =-18   -2+9=7

х2 +21х+90=0

х12 = -21

х1∙х2 =90         

х1= -6; х2 =-15

Відповідь: -6;-15

Добуток додатний, сума – від’ємна, тому два доданки мають бути від’ємними.

90= 1∙2∙3∙3∙5

2-5х+3=0 (поділимо на 2 кожен доданок)

 х2-2,5 х+1,5=0

х12 = 2,5

х1∙х2 =1,5         

х1= 1; х2 =1,5

Відповідь: 1;1,5

Якщо рівняння не зведене, то кожен доданок потрібно поділити на число а.

ах2 +bx+с=0

 х2 + x+ =0

 

 

docx
До підручника
Алгебра 8 клас (Істер О. С.)
До уроку
Розділ 3. Квадратні рівняння
Додано
1 жовтня 2025
Переглядів
182
Оцінка розробки
Відгуки відсутні
Безкоштовний сертифікат
про публікацію авторської розробки
Щоб отримати, додайте розробку

Додати розробку