Нерівності у тестах

Додано: 7 січня
Предмет: Геометрія, 11 клас
6 запитань
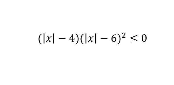
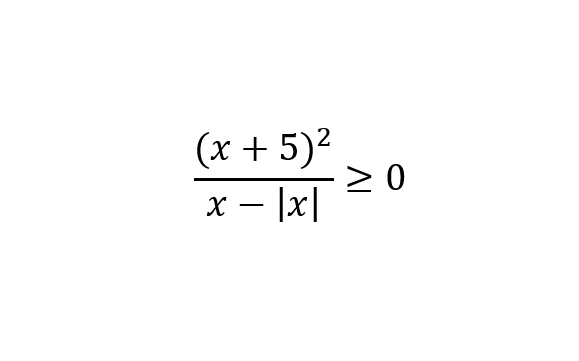
Запитання 1

Знайти кількість цілих розв'язків нерівності

варіанти відповідей

3

5

8

11

розв'язків немає

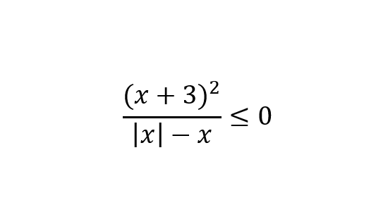
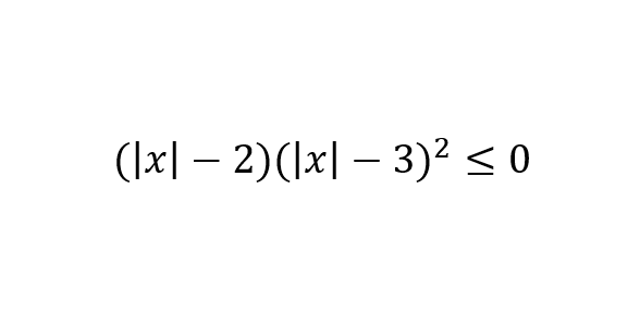
Запитання 2

Знайти кількість цілих розв'язків нерівності

варіанти відповідей

2

3

5

6

розв'язків немає

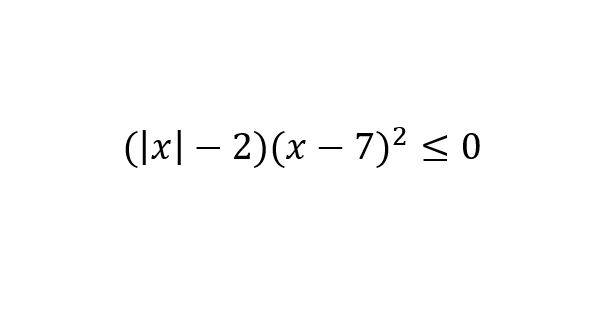
Запитання 3

Знайти кількість цілих розв'язків нерівності

варіанти відповідей

розв'язків немає

1

2

3

5

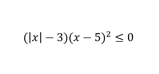
Запитання 4

Знайти кількість цілих розв'язків нерівності

варіанти відповідей

розв'язків немає

1

2

5

7

Запитання 5

Знайти кількість цілих розв'язків нерівності

варіанти відповідей

розв'язків немає

2

3

10

11

Запитання 6

Знайти кількість цілих розв'язків нерівності

варіанти відповідей

розв'язків немає

1

3

5

6

Створюйте онлайн-тести
для контролю знань і залучення учнів
до активної роботи у класі та вдома

Створити тест